Tọa độ thiên thể
Right Ascension (hay "RA") và Declination (hay "Dec") là tọa độ toàn cầu : bất kỳ ngôi sao cụ thể nào cũng có cùng RA và Dec đối với tất cả người quan sát trên Trái đất và vị trí đó vẫn giữ nguyên, đêm này qua đêm khác. Mặt khác, độ cao và phương vị là tọa độ cục bộ : mỗi người quan sát thiết lập hệ quy chiếu riêng của mình. Hơn nữa, độ cao và phương vị của một ngôi sao nhất định sẽ thay đổi chỉ sau vài phút khi ngôi sao đó xuất hiện khi mọc, di chuyển trên bầu trời và lặn.
Trên Trái Đất, một cách để mô tả vị trí là sử dụng hệ tọa độ được cố định trên bề mặt Trái Đất.

Hệ thống này được định hướng bởi trục quay của Trái Đất, và có các điểm đặc biệt ở Cực Bắc và Cực Nam. Chúng ta sử dụng các đường vĩ độ và kinh độ để phân định bề mặt. Rõ ràng là vĩ độ được đo từ đường xích đạo. Nhưng điểm bắt đầu cho kinh độ là ở đâu? Không có lựa chọn "hiển nhiên". Sau nhiều lần mặc cả, cuối cùng các quốc gia châu Âu đã quyết định sử dụng vị trí của Đài quan sát Greenwich ở Anh làm điểm bắt đầu cho kinh độ.
Có một số cách để xác định vị trí -- ví dụ, vị trí của Đài quan sát RIT. Người ta có thể sử dụng độ:
vĩ độ 43.0758 độ Bắc, kinh độ 77.6647 độ Tây của Greenwich
Hoặc độ, phút và giây:
vĩ độ 43:04:33 Bắc, kinh độ 77:39:53 Tây
Hoặc, trong trường hợp kinh độ, người ta có thể đo theo múi giờ. Mặt trời sẽ lặn tại Đài quan sát RIT muộn hơn khoảng 5 giờ 11 phút so với Greenwich, vì vậy người ta có thể nói
vĩ độ 43:04:33 Bắc, kinh độ 05 giờ 11 phút Tây
Người ta có thể tạo ra một hệ tọa độ tương tự được "cố định trên bầu trời":

Một lần nữa, chúng ta sử dụng trục quay của Trái Đất để định hướng tọa độ. Có hai nơi đặc biệt, Cực Bắc và Cực Nam. Khi Trái Đất quay (về phía Đông), thiên cầu dường như quay (về phía Tây). Các ngôi sao dường như chuyển động theo vòng tròn: các ngôi sao nhỏ gần các cực thiên cầu, và các ngôi sao lớn gần đường xích đạo thiên cầu:

Bản quyền hình ảnh thuộc về David Malin.
Chúng ta lại sử dụng hai tọa độ trực giao để mô tả vị trí:
- Độ nghiêng , giống như vĩ độ thiên thể
- Xích kinh phải , giống như kinh độ thiên thể
Cũng như vĩ độ, Độ lệch được đo từ đường xích đạo thiên thể. Nhưng một lần nữa không có lựa chọn rõ ràng nào cho điểm bắt đầu của tập hợp tọa độ khác. Chúng ta nên bắt đầu đếm Right Ascension ở đâu? Lựa chọn khá tùy ý mà các nhà thiên văn học đã thực hiện từ lâu là chọn điểm mà Mặt trời dường như cắt qua đường xích đạo thiên thể từ Nam sang Bắc khi nó di chuyển qua bầu trời trong suốt một năm. Chúng ta gọi điểm đó là "xuân phân".

Một lần nữa, có một số cách để diễn đạt một vị trí. Ví dụ, ngôi sao Sirius có thể được mô tả như sau
Xích kinh phải 101,287 độ, Xích vĩ -16,716 độ
Chúng ta cũng có thể biểu thị Độ lệch theo Độ:Phút cung:Giây cung, giống như chúng ta làm với vĩ độ; và như thường lệ, có 360 độ xung quanh một vòng tròn đầy đủ. Đối với Xích kinh, các nhà thiên văn học luôn sử dụng quy ước Giờ:Phút:Giây. Có 24 giờ của Độ lệch cung xung quanh một vòng tròn trên bầu trời, vì Mặt trời mất 24 giờ để di chuyển hết quãng đường từ lúc mặt trời mọc đến lúc mặt trời mọc tiếp theo.
Xích kinh phải 06:45:09, Xích vĩ -16:42:58
nghĩa
- Thăng thiên phải là 6 giờ, 45 phút, 09 giây
- Độ lệch là -16 độ, 42 phút cung, 58 giây cung
Sự khác nhau giữa "arcminute" và "minute" là gì? Các đơn vị có tiền tố "arc" dùng để chỉ các góc hình học:
- một vòng tròn được chia thành 360 độ
- một độ được chia thành 60 phút cung
- một phút cung được chia thành 60 giây cung. Do đó, có 3600 giây cung trong một độ
Mặt khác, "phút" không có "cung" ám chỉ khoảng cách mà một vật thể di chuyển do sự quay của Trái Đất. Trái Đất mất (khoảng) 24 giờ để quay, vì vậy
- 24 giờ tạo thành một vòng tròn hoàn chỉnh
- một giờ thời gian được chia thành 60 phút thời gian
- một phút thời gian được chia thành 60 giây thời gian. Do đó, có 3600 giây thời gian trong một giờ thời gian
Trên đường xích đạo thiên thể, một giờ tương ứng với 15 độ. Tuy nhiên, xa đường xích đạo thiên thể, khoảng cách một vật thể di chuyển trong một giờ có thể nhỏ hơn nhiều.
Hai tọa độ này, độ cao (hay "alt") và góc phương vị (hay "az"), đều tập trung vào người quan sát.

Hai góc này chỉ định duy nhất hướng của bất kỳ vật thể nào trên bầu trời. Một số kính thiên văn có giá đỡ alt-az xoay theo hai trục vuông góc này; chân máy ảnh và tháp pháo xe tăng là những ví dụ khác về thiết bị alt-az.
Độ cao của một vật thể đặc biệt quan trọng theo quan điểm thực tế: bất kỳ vật thể nào có độ cao nhỏ hơn 0 đều nằm dưới đường chân trời và do đó không thể tiếp cận được. Hơn nữa, độ cao của một vật thể liên quan đến khối khí của nó , một phép đo lượng không khí mà ánh sáng từ vật thể đó phải đi qua để đến được người quan sát. Khối khí càng lớn thì ánh sáng càng bị tán xạ hoặc hấp thụ bởi khí quyển và do đó vật thể sẽ càng mờ. Chúng ta sẽ giải quyết khối khí chi tiết hơn sau một chút.
Tuy nhiên, lưu ý rằng hai người quan sát ở các vị trí khác nhau trên Trái Đất sẽ không thống nhất về vị trí (alt, az) của một vật thể. Hơn nữa, khi Trái Đất quay, một vật thể trên bầu trời dường như di chuyển từ Đông sang Tây, do đó vị trí (alt, az) của nó thay đổi theo từng khoảnh khắc.
Có thể chuyển đổi từ (RA, Dec) sang (alt, az) hoặc ngược lại. Người ta cần biết hai yếu tố:
Các phép tính liên quan đến một số lượng giác hình cầu. Người ta có thể tìm thấy các chi tiết trong bất kỳ cuốn sách hay nào về toán học thiên thể, chẳng hạn như
Trong thời đại hiện đại này, cách dễ nhất thường là sử dụng một trong nhiều chương trình thiên văn học tuyệt vời trên máy tính để thực hiện công việc này.
Bạn đã học lượng giác ở trường trung học: sin, cosin, Định lý Pythagore và tất cả những thứ đó. Tuy nhiên, trừ khi bạn học ở một trường trung học thực sự tốt, bạn có thể giới hạn các phép tính của mình trong hình học phẳng. Thật không may, bầu trời không phải là một mặt phẳng. Chúng ta đo vị trí và tọa độ trên bề mặt bên trong của một hình cầu tưởng tượng. Điều đó có nghĩa là các quy tắc cũ không còn hiệu quả nữa. Chủ đề về lượng giác cầu không phải là một chủ đề đơn giản, nhưng trong khóa học này, chúng ta sẽ chỉ xem xét nó.
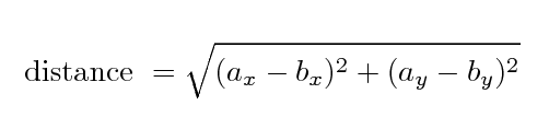
Cho hai vectơ a và b , khoảng cách giữa chúng là bao nhiêu? Trên một mặt phẳng, chúng ta có thể chia nhỏ mỗi vectơ thành các thành phần của nó và sử dụng định lý Pythagore:
Dọc theo bề mặt của thiên cầu, nếu chúng ta muốn tìm khoảng cách góc giữa hai điểm p1 và p2 , chúng ta cần sử dụng định luật cosin. Trong trường hợp thông thường, hai điểm được biểu thị theo Xích kinh (α) và Xích vĩ (δ), như sau:
Trong trường hợp này, định luật cosin trở thành

cho chúng ta cosin của khoảng cách góc mong muốn γ.
Nếu chúng ta quan tâm đến khoảng cách góc rất nhỏ trên bầu trời -- ví dụ như khoảng cách giữa hai thành phần của một ngôi sao đôi, hoặc khoảng cách giữa hai vệ tinh của Sao Mộc -- thì có hai phép tính gần đúng phổ biến. Đầu tiên, nếu chúng ta bắt đầu với tọa độ RA và Dec của hai điểm, chúng ta có thể tạo ra một công thức giả Pythagore; tất cả những gì chúng ta phải làm là hiệu chỉnh sự khác biệt trong Right Ascension bằng cosin của Declination.
Thứ hai, nếu chúng ta bắt đầu bằng hình ảnh một vùng rất nhỏ trên bầu trời, cùng với chỉ dẫn về tỷ lệ tính bằng giây cung, như thế này:

sau đó chúng ta có thể
- chọn bất kỳ hai hướng trực giao nào trên hình ảnh
- đo khoảng cách (tính bằng giây cung) theo từng hướng
- sử dụng công thức Pythagore cũ tốt
- Sao Bắc Cực, sao Bắc Đẩu, nằm gần Độ lệch = +90 độ. Nếu bạn đứng ở Cực Bắc của Trái Đất, bạn sẽ nhìn thấy nó ở đâu trên bầu trời?
- Nếu bạn đứng trên đường Xích đạo, bạn sẽ nhìn thấy sao Bắc Cực ở đâu trên bầu trời?
- Vĩ độ của Rochester là +43 độ Bắc. Sao Bắc Cực ở độ cao bao nhiêu so với đường chân trời khi nhìn thấy ở Rochester?
- Độ nghiêng của các ngôi sao ở cực Nam mà chúng ta có thể nhìn thấy ở Rochester là bao nhiêu?
- Chuyển đổi vị trí của ngôi sao sáng Regulus sang độ thập phân:
RA = 10:08:22,2 Tháng 12 = +11:58:02
- Chuyển đổi tọa độ của Arcturus sang ký hiệu sexigesimal (HH:MM:SS.s, DD:MM:SS.s)
RA = 213,91317 Tháng 12 = +19,17897
- Có bao nhiêu độ ở khắp mọi nơi đường xích đạo thiên thể?
- Có bao nhiêu giây cung ở khắp mọi nơi đường xích đạo thiên thể?
- Khoảng cách góc giữa hai vị trí này là bao nhiêu độ?
RA Dec
-------------------------------
A 2 giờ 0 độ
B 5 giờ 0 độ
--------------------------------
- Khoảng cách góc giữa hai vị trí này là bao nhiêu độ?
RA Dec
-------------------------------
A 2 giờ 50 độ
B 5 giờ 50 độ
--------------------------------
- (một câu hỏi khó) Khoảng cách góc giữa các ngôi sao sáng là bao nhiêu? Arcturus và Regulus? Tọa độ của chúng là được cung cấp trong các câu hỏi trên.
Bản quyền © Michael Richmond. Tác phẩm này được cấp phép theo Giấy phép Creative Commons .
Boiviet.net